今回は、新たなフィルム材の開発に関する研究を紹介します。野菜や果実の鮮度保持のため、多様なフィルムが開発されていますが、今回の研究では、このフィルムにキトサンと呼ばれる雑菌類の繁殖を抑制する効果のある成分を配合することで、イチゴの日持ちが延長できる可能性があることが報告されています。
野菜・果実の鮮度保持とフィルム材
野菜や果実は、収穫後も呼吸を続けています。呼吸作用は植物の生命維持に必須の作用ではありますが、過剰な呼吸は、収穫物のしおれ等への原因ともなります。そこで、フィルム材で、収穫物を梱包することで、フィルム内の大気組成を調整(一般に大気と比べ、低酸素、高二酸化炭素)し、呼吸の抑制をはかり、日持ちを延長させます。この技術を一般にMA貯蔵と呼びます。なお、収穫物の保存に適した環境を作るため、多様なフィルム材の開発が行われています。
“キトサンを配合した抗菌フィルム”
今回は、中国・四川農業大学らの研究グループにより開発が進められている、イチゴへの利用が検討されているフィルム材を紹介します。
キトサンは、イチゴの腐敗の原因となる灰色カビに対し、効果があるとされています。一方、キトサンのみでは、MA貯蔵の肝要な点である、フィルム内の大気組成維持が困難であることから、ポリビニルアルコール(PVA)を混合し、貯蔵に適したフィルム材の開発が行われました。
今回の研究では、
- PVAフィルム(PVA)
- 20%キトサンを含むPVAフィルム(PVA/CH-2)
- 25%キトサンを含むPVAフィルム(PVA/CH2.5)
- 30%キトサンを含むPVAフィルム(PVA/CH3)
- 包装資材なし(フィルム類を使用しないで貯蔵)
の5つの条件を設け、室温18±2℃、湿度60±5%の環境で、最大6日間調査が行われました。
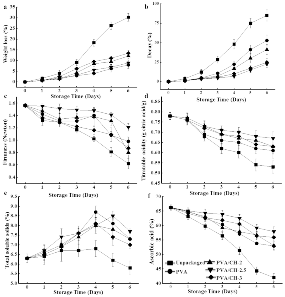
また、イチゴの日持ちを判断する指標として、
- 重量減少率
- 腐敗率
- 糖度
- 酸度
- 硬度
- アスコルビン酸含量
などの項目について定期的に調査されました(今回は、重量減少率および腐敗率に絞り紹介します)。
重量減少率(重量減少率は、少ないほど良いとされる指標です)
- PVA(6日で5%程度)
- PVA+キトサン(6日で5~10%程度)
- 包装資材なし(6日で30%程度)
と、キトサンを配合したフィルムでも、重量減少率は十分に抑えることが可能でした。なお、PVA/CH3(30%配合)では、重量減少率が比較的高くなりましたが、これは、キトサンの配合率が高いことにより、フィルムの水蒸気透過性が大きくなりすぎてしまったことが原因でした。
(表2より:PVA/CS-3で、酸素透過性、水蒸気透過性が大きいことが分かる)

腐敗率
- PVA:6日で約50%
- PVA/CH-2:6日で約30%
- PVA/CH2.5およびPVA/CH3:6日で約20%
- 包装資材なし:6日で約80%
包装資材なしやPVA単独の資材では、半数以上の果実が腐敗してしまった一方、キトサンを配合することで、その腐敗率は2割程度まで抑えることができました。

(図3a:重量減少率、図3b:腐敗率を示し、キトサンを配合したことで、腐敗率が低下)
キトサンを配合したフィルムの中でも、PVA/CH2.5(25%配合)では、その適度な酸素および水蒸気透過性による、重量減少率の抑制と、キトサンの抗菌効果による、カビの抑制により、他の包装資材に比べ、日持ちを延長させることが可能でした。さらに、官能評価(実際に食べた時の味などの評価)の結果でも、PVA/CH2.5で、他の処理区と比べ良い結果となりました。

(図5:6日目の段階で、PVA/CH-2,5区において、カビの発生が抑制されている)
コメント
本研究のように、キトサンをフィルムに配合し、野菜や果実の鮮度保持を調査した例は、あまり知られていませんが、25%のキトサンを配合した場合、PVAフィルム単体と比べ、明らかに、灰色カビの発生が抑制されていました。このことから、キトサンが、カビの抑制に働いているものと思われ、今後、有用なフィルム材となると考えられます。
一方、日本国内でも、多様なフィルム材を用いた、イチゴの鮮度保持に関する研究が多く行われています。これらの研究を通じて、MA貯蔵時における最適酸素濃度および二酸化炭素濃度等はあきらかになってきています。またこれらの研究では、冷蔵条件も併用されています(1,2)。
本研究では、フィルム材の開発に着目したためか、袋内のガス組成の調査や、冷蔵との併用による日持ち日数の延長については、検討されていませんでした。そのため、ガス組成の変化や、冷蔵と併用した場合の日持ちについても、今後研究が行われることを期待したい技術です。
今回紹介した論文
Yaowen Liu, Shuyao Wang, Wenting Lan and Wen Qin. Fabrication and testing of PVA/Chitosan bilayer films for strawberry packaging. Coatings 7(8): 109. 2017. CC-BY 4.0.
(今回記事内の“キトサンを配合した抗菌フィルム”およびその他紹介した図表は、上記論文のデータ等を一部抜粋・改変したものを記載しています。)
論文オープンアクセスURL:https://www.mdpi.com/2079-6412/7/8/109
参考文献
(1)八分着色イチゴ果実のMA包装と低温貯蔵を組み合わせた鮮度保持技術・農研機構http://www.naro.affrc.go.jp/org/karc/seika/kyushu_seika/2007/2007227.html (2)研究成果集第35号 | 栃木県農業試験場の研究成果https://www.agrinet.pref.tochigi.lg.jp/nousi/seikasyu/seika35/seikasyuu35.html
2 研究の場で活用される新手法等(研究情報)―9 MA包装を用いたスカイベリー果実の長期貯蔵技術より
以下よりpdfファイルダウンロード可能
http://www.pref.tochigi.lg.jp/g59/new_seika/documents/sep35_2_09.pdf